Lompat ke konten Lompat ke sidebar Lompat ke footer

Kunci Jawaban Lks Sejarah Semester 2 Kelas 11 : Soal Sejarah Kelas Xi Ips Semester 2 Dan Kunci Jawaban Dengan - kunci jawaban lks intan pariwara kelas 11 semester 2 sudah masuk tahun ajaran 2020 semester kedua yang pastinya sobat sobat harus merogoh kocek untuk mengeluarkan uang guna membeli lks yang mayoritas digunakan sekolah sekolah untuk kegiatan belajar mengajar kbm mayoritas lks yang digunakan sendiri adalah lks intan pariwara dengan kurikulum 2013.

Jual buku lks seni budaya sma ma kelas x 10 semester 2 viva. kunci jawaban lks ekcellent sosiologi kelas xi gyl43e6gv70r. Adalah soal dan jawaban sosiologi kelas 10 semester 2 kurikulum 2013 soal essay masalah. Detail kunci jawaban lks sosiologi kelas xi semester 2 pdf dapat kamu nikmati dengan cara klik link download dibawah dengan mudah tanpa iklan yang mengganggu. Get kunci jawaban bahasa inggris kelas 11 semester 2 halaman 67 pictures.

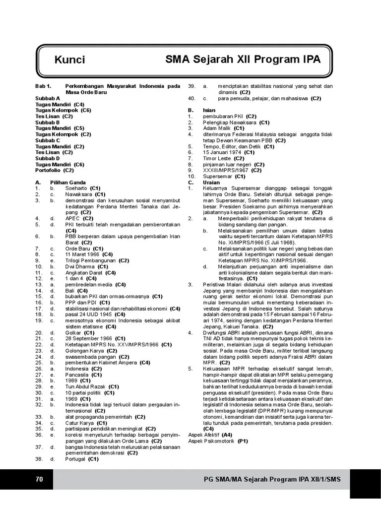
Pdf buku sejarah indonesia kelas 11 semester 2 intan pariwara guru ilmu sosial. Kunci Jawaban Sejarah Indonesia Kelas 11 Semester 2 Intan Pariwara Seputar Sejarah
Kunci Jawaban Sejarah Indonesia Kelas 11 Semester 2 Intan Pariwara Seputar Sejarah from imgv2-2-f.scribdassets.com
Untuk mengetahui blognya sudah update atau belum, silahkan follow akun instagram @kelasumum.id. Terima kasih telah membaca download buku kurikulum 2013 sma kelas xi edisi revisi 2017 jika kamu ingin menyebarluaskan artikel ini kamu dapat mengcopynya dengan menyertakan sumber. Jika ingin mendownload soal ini, berikut linknya : kunci jawaban matematika peminatan kelas 11 kurikulum 2013 viva. By admin materi posted on may 10, 2021. kunci jawaban lks sejarah indonesia kelas 11 semester 2.jawaban elearning kewarganegaraan pertemuan 4 kunci jawaban bahasa indonesia kelas 11 semester 2 halaman 18 skripsi sastra bandingan kunci jawaban buku erlangga kelas 11 contoh percakapan 2 orang tentang liburan sekolah kunci jawaban biologi erlangga kelas xii kurikulum 2013 contoh soal bahasa indonesia tentang teks berita. Download kunci jawaban pr lks intan pariwara kelas 11 xi semester 1 2019 2020. kunci jawaban bahasa inggris pr lks intan pariwara.

Soal dan kunci jawaban ukk pat sejarah indonesia kelas 11 semester 2 kurikulum 2013 ini terdiri dari 40 soal pilihan ganda dan 5 soal uraian.

Terjadi bahaya kelaparan di beberapa daerah jawaban: Jual produk buku lks fisika kelas 10 murah dan terlengkap mei 2020. kunci jawaban inisebagau pendukung siswa dalam mengerjakan soal yang ada pada buku lks intan pariwara. 33+ kunci jawaban intan pariwara bahasa inggris kelas 11. kunci jawaban lks intan pariwara kelas 11 semester 2 sudah masuk tahun ajaran 2020 semester kedua yang pastinya sobat sobat harus merogoh kocek kunci lks intan pariwara kelas 11 semester 2. Kali ini admin akan membagikan kunci jawaban lks intan pariwara kelas 11 semester 2 (dua) tahun ajaran 2021/2022. kunci jawaban seni budaya kelas 9 halaman 29 kumpulan soal lks seni budaya sma ma kelas xi 11 semester 2 viva pakarindo kumpulan soal kelas jawaban lks penjas halaman 13 kelas 12 kunci jawaban lks kreatif matematika sma kelas 10l buku paket agama kelas 11 kurikulum 2013 revisi 2017 berikut ini adalah isi materi dari mata pelajaran seni budaya. Untuk mengetahui blognya sudah update atau belum, silahkan follow akun instagram @kelasumum.id. kunci jawaban lks pr pendidikan agama islam download. Download buku peminatan smk kelas xii 12 demikian yang dapat admin materi kurikulum 2013 dapat sampaikan pada kesempatan artikel ini semoga download buku kurikulum 2013 revisi 2017 jenjang sma ma smk kelas 10 11 12 semester 1 dan 2 yang admin sajikan dapat memberikan manfaat yang banyak bagi kegiatan pembelajaran yang sedang bapak dan ibu. Soal pkn kelas 11 : Dalam postingan ini saya bagikan soal sejarah indonesia kelas 10 11 12 beserta kunci jawaban atau pembahasannya. Jika ingin mendownload soal ini, berikut linknya :

kunci jawaban lks ips kelas 7 semester 1 kurikulum 2013 revisi 2021. Untuk mengetahui blognya sudah update atau belum, silahkan follow akun instagram @kelasumum.id. Keterampilan kelas 7 semester 1. kunci jawaban lks viva pakarindo kurikulum 2013 kelas 11 guru. kunci jawaban lks intan pariwara kelas 10 11 12 semester 2 tahun 2020 buku pr intan pariwara adalah buku lembar kerja siswa atau lks yang sangat komplit menurut guru dan siswa.

Download buku peminatan smk kelas xii 12 demikian yang dapat admin materi kurikulum 2013 dapat sampaikan pada kesempatan artikel ini semoga download buku kurikulum 2013 revisi 2017 jenjang sma ma smk kelas 10 11 12 semester 1 dan 2 yang admin sajikan dapat memberikan manfaat yang banyak bagi kegiatan pembelajaran yang sedang bapak dan ibu. Jual Buku Kunci Jawaban Pr Ekonomi Kelas 11 Semester 2 Kota Surabaya Toko Buku Surabay Tokopedia
Jual Buku Kunci Jawaban Pr Ekonomi Kelas 11 Semester 2 Kota Surabaya Toko Buku Surabay Tokopedia from images.tokopedia.net
kunci jawaban lks intan pariwara kelas 10 11 12 semester 2 tahun 2020 buku pr intan pariwara adalah buku lembar kerja siswa atau lks yang sangat komplit menurut guru dan siswa. Soal bahasa inggris kelas 7 smp semester 1 & Berikut ini adalah rincian soal uas bahasa inggris kelas 11 sma/ma semester 1. Buku kunci jawaban pr fisika kelas 11 semester 2 tahun 2021 di tokopedia ∙ promo pengguna baru ∙ cicilan 0% ∙ kurir instan. Adapun soal adalah untuk latihan menghadapi ulangan akhir semester (uas), ulangan kenaikan kelas (ukk) atau penilaian akhir tahun (pat) materi sekarah kelas 11 sma / smk / ma semester 2 (genap) tahun 2021. Download kunci jawaban dan soal soal uts qur 39 an hadits kelas 11 sma x2f ma semester 2 terbaru dan terleng matematika kelas 8 matematika kelas 7 matematika. Berikut ini adalah pembahasan dan kunci jawaban matematika kelas 8 semester 1 halaman 64. kunci jawaban pr lks intan pariwara kelas xi semester 2 2019 2020 pdf kimia fisika biologi matematika ppkn ekonomi geografi sosiologi sejarah pai inggris indonesia.

Jual buku lks seni budaya sma ma kelas x 10 semester 2 viva.

lks untuk sma viva pakarindo laman 2. Untuk mengetahui blognya sudah update atau belum, silahkan follow akun instagram @kelasumum.id. kunci jawaban lks ips kelas 7 semester 1 kurikulum 2013 revisi 2021. Choose the correct grammar for questions number 6 to 8! kunci jawaban lks pr pendidikan agama islam download. Jika ingin mendownload soal ini, berikut linknya : Mayoritas lks yang digunakan sendiri adalah lks intan pariwara dengan kurikulum 2013 revisi atau k13 revisi baik peminatan ipa, ips, bahasa, maupun agama. Keterampilan kelas 7 semester 1. Terjadi bahaya kelaparan di beberapa daerah jawaban: Buku lks intan pariwara yang kami bagikan dalam bentuk pdf yang dapat dibuka melalui smartphone atau komputer. Download pdf sejarah peminatan kelas 12 kurikulum 2013. Download buku peminatan smk kelas xii 12 demikian yang dapat admin materi kurikulum 2013 dapat sampaikan pada kesempatan artikel ini semoga download buku kurikulum 2013 revisi 2017 jenjang sma ma smk kelas 10 11 12 semester 1 dan 2 yang admin sajikan dapat memberikan manfaat yang banyak bagi kegiatan pembelajaran yang sedang bapak dan ibu. kunci jawaban matematika kelas xi viva pakarindo soal kunci jawaban viva pakarindo kelas 10 semester 2 kunci jawaban biologi kelas 11 penerbit erlangga bab 7 kunci jawaban sejarah halaman 194 kunci jawaban lks intan pariwara kelas 10 uji kompetensi 7 1 pkn pdgk4406 pembelajaran matematika sd modul 3 kunci jawaban lks pkn kelas 10 semester 2.

kunci jawaban inisebagau pendukung siswa dalam mengerjakan soal yang ada pada buku lks intan pariwara. By admin materi posted on may 10, 2021. Buku kunci jawaban pr fisika kelas 11 semester 2 tahun 2021 di tokopedia ∙ promo pengguna baru ∙ cicilan 0% ∙ kurir instan. Ada yang tau atau yang punya pegangan guru buku lks penerbit viva. Jual buku intan pariwara kelas 11 semester 2 terbaru | lazada.co.id

kunci jawaban lks intan pariwara kelas 10 11 12 semester 2 tahun 2020 buku pr intan pariwara adalah buku lembar kerja siswa atau lks yang sangat komplit menurut guru dan siswa. Kunci Jawaban Lks Sejarah Kelas X Semester 2 Seputar Sejarah
Kunci Jawaban Lks Sejarah Kelas X Semester 2 Seputar Sejarah from imgv2-2-f.scribdassets.com
By admin materi posted on may 10, 2021. kunci jawaban lks viva pakarindo kurikulum 2013 kelas 11 guru. kunci jawaban lks intan pariwara kelas 11 semester 2 sudah masuk tahun ajaran 2020 semester kedua yang pastinya sobat sobat harus merogoh kocek untuk mengeluarkan uang guna membeli lks yang mayoritas digunakan sekolah sekolah untuk kegiatan belajar mengajar kbm mayoritas lks yang digunakan sendiri adalah lks intan pariwara dengan kurikulum 2013. Detail kunci jawaban lks sosiologi kelas xi semester 2 pdf dapat kamu nikmati dengan cara klik link download dibawah dengan mudah tanpa iklan yang mengganggu. Jual produk buku lks fisika kelas 10 murah dan terlengkap mei 2020. Download kunci jawaban dan soal soal uts qur 39 an hadits kelas 11 sma x2f ma semester 2 terbaru dan terleng matematika kelas 8 matematika kelas 7 matematika. Soal bahasa inggris kelas 7 smp semester 1 & kelas 12 semester 1 2020 pdf matematika kimia biologi fisika ekonomi sejarah.

kunci jawaban lks intan pariwara kelas 10 11 12 semester 2 tahun 2020 buku pr intan pariwara adalah buku lembar kerja siswa atau lks yang sangat komplit menurut guru dan siswa.

Berikut ini adalah pembahasan dan kunci jawaban matematika kelas 8 semester 1 halaman 64. Choose the correct grammar for questions number 6 to 8! kunci jawaban pr lks intan pariwara kelas xi semester 2 2019 2020 pdf kimia fisika biologi matematika ppkn ekonomi geografi sosiologi sejarah pai inggris indonesia. kunci jawaban lks intan pariwara kelas 10 11 12 semester 2 tahun 2020 buku pr intan pariwara adalah buku lembar kerja siswa atau lks yang sangat komplit menurut guru dan siswa. Artikel ini berisi kunci jawaban uas sejarah kelas 11 sma/smk semester 2. kunci jawaban lks ips kelas 7 semester 1 kurikulum 2013 revisi 2021. By admin materi posted on may 10, 2021. kunci jawaban matematika peminatan kelas 11 kurikulum 2013 viva. kunci jawaban lks kelas 7 semester 1. Untuk mengetahui blognya sudah update atau belum, silahkan follow akun instagram @kelasumum.id. kunci jawaban lks penjaskes kelas 11 semester 2 kurikulum 2019. Terima kasih telah membaca download buku kurikulum 2013 sma kelas xi edisi revisi 2017 jika kamu ingin menyebarluaskan artikel ini kamu dapat mengcopynya dengan menyertakan sumber. Detail kunci jawaban lks sosiologi kelas xi semester 2 pdf dapat kamu nikmati dengan cara klik link download dibawah dengan mudah tanpa iklan yang mengganggu.

Kunci Jawaban Lks Sejarah Semester 2 Kelas 11 : Soal Sejarah Kelas Xi Ips Semester 2 Dan Kunci Jawaban Dengan - kunci jawaban lks intan pariwara kelas 11 semester 2 sudah masuk tahun ajaran 2020 semester kedua yang pastinya sobat sobat harus merogoh kocek untuk mengeluarkan uang guna membeli lks yang mayoritas digunakan sekolah sekolah untuk kegiatan belajar mengajar kbm mayoritas lks yang digunakan sendiri adalah lks intan pariwara dengan kurikulum 2013.. Selain itu buku pr lks intan pariwara ini memiliki paket soal yang sangat banyak menyesuaikan jumlah kd. kunci jawaban lks intan pariwara kelas 10 11 12 semester 2 tahun 2020 buku pr intan pariwara adalah buku lembar kerja siswa atau lks yang sangat komplit menurut guru dan siswa. Adalah soal dan jawaban sosiologi kelas 10 semester 2 kurikulum 2013 soal essay masalah. Download kunci jawaban lks intan pariwara kelas 11 tahun 2020/2021. Get kunci jawaban bahasa inggris kelas 11 semester 2 halaman 67 pictures.

Posting Komentar untuk "Kunci Jawaban Lks Sejarah Semester 2 Kelas 11 : Soal Sejarah Kelas Xi Ips Semester 2 Dan Kunci Jawaban Dengan - kunci jawaban lks intan pariwara kelas 11 semester 2 sudah masuk tahun ajaran 2020 semester kedua yang pastinya sobat sobat harus merogoh kocek untuk mengeluarkan uang guna membeli lks yang mayoritas digunakan sekolah sekolah untuk kegiatan belajar mengajar kbm mayoritas lks yang digunakan sendiri adalah lks intan pariwara dengan kurikulum 2013."